渣漿泵內部流場之控制方程及邊界條件
作者:福陽泵業 時間:2019-08-30 點擊量:
渣漿泵內部流場之控制方程及邊界條件:
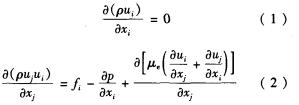
2.1控制方程
對于離心渣漿泵葉輪中不可壓縮流體的恒定流動,根據布辛涅斯克(Boussinesq)渦粘性假設,連續性方程和動量方程可寫成張量形式:

2.2湍流模型
為了確定有效粘性系數,使用了以湍動能k及其耗散率的輸運方程為基礎的高雷諾數k—湍流模型。臥式渣漿泵

本文源自http://m.huaibinzfw.com/news/zhajiangbengzhishi/667.html,轉載請注明出處。
(責任編輯:渣漿泵m.huaibinzfw.com)
上一篇:渣漿泵內部流場數值模擬計算參數及網格劃分 下一篇:渣漿泵內部流場之邊界條件渣漿泵知識
下一篇:渣漿泵內部流場之邊界條件
渣漿泵熱門文章
- >> 渣漿泵軸封水的作用介紹
- >> 渣漿泵不上料或上料不好的原因
- >> 氧化鋁礦用渣漿泵過流件高鉻鑄鐵Cr28的腐蝕磨損性能-材料
- >> 渣漿泵的基本維修方法
- >> 砂礫泵零部件的使用維護
- >> 砂礫泵的使用注意事項
- >> 砂礫泵泵體和泵蓋等一些列介紹
渣漿泵文章推薦
- >> 非對稱式葉輪組自身平衡的多級渣漿泵
- >> 渣漿泵輸送含有水污泥的兩相流體
- >> ZD型渣漿泵操作注意的事項
- >> 離心式渣漿泵磨損帶來的問題
- >> 渣漿泵葉輪的結構構造
- >> 渣漿泵機械密封
- >> 固液混合物磨蝕特性所引起的渣漿泵結構特點






