渣漿泵背葉片密封CFD的紊流模型
作者:福陽泵業 時間:2018-12-28 點擊量:
渣漿泵背葉片密封CFD的紊流模型:
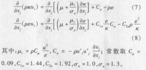
由于葉輪轉速較大,而背葉片與泵殼間隙處的流量可能很小,因而選用—雙方程‘的實體湍流模型來確定有效粘性系數,其形式如公式(7)和公式(8)所示。液下渣漿泵

本文源自http://m.huaibinzfw.com/news/zhajiangbengzhishi/652.html,轉載請注明出處。
(責任編輯:渣漿泵m.huaibinzfw.com)
渣漿泵熱門文章
- >> 渣漿泵軸封水的作用介紹
- >> 渣漿泵不上料或上料不好的原因
- >> 氧化鋁礦用渣漿泵過流件高鉻鑄鐵Cr28的腐蝕磨損性能-材料
- >> 渣漿泵的基本維修方法
- >> 砂礫泵零部件的使用維護
- >> 砂礫泵的使用注意事項
- >> 砂礫泵泵體和泵蓋等一些列介紹
渣漿泵文章推薦
- >> 非對稱式葉輪組自身平衡的多級渣漿泵
- >> 渣漿泵輸送含有水污泥的兩相流體
- >> ZD型渣漿泵操作注意的事項
- >> 離心式渣漿泵磨損帶來的問題
- >> 渣漿泵葉輪的結構構造
- >> 渣漿泵機械密封
- >> 固液混合物磨蝕特性所引起的渣漿泵結構特點






